Army Op Order Template - States how the unit is organized for the operation and gives who. Coc wake up, fc/ff time and order of chow, time and order of weapons of draw 2. 4) tactical missions to subordinate units. The enemy capability to conduct simultaneous and multiple convoy ambush operations at critical areas exists. Web a) concept of operation. Web brief operation’s expanded purpose brief key tasks brief endstate…”at endstate…” o friendly, enemy, terrain, civilian coa.
Denali Direct Laminated US Army OPORD Shell, Army Operation Order
Coc wake up, fc/ff time and order of chow, time and order of weapons of draw 2. States how the unit is organized for the operation and gives who. Web brief operation’s expanded purpose brief key tasks brief endstate…”at endstate…” o friendly, enemy, terrain, civilian coa. The enemy capability to conduct simultaneous and multiple convoy ambush operations at critical areas.
Army five paragraph operations order Operations order
States how the unit is organized for the operation and gives who. Coc wake up, fc/ff time and order of chow, time and order of weapons of draw 2. 4) tactical missions to subordinate units. Web brief operation’s expanded purpose brief key tasks brief endstate…”at endstate…” o friendly, enemy, terrain, civilian coa. The enemy capability to conduct simultaneous and multiple.
Denali Direct Laminated US Army OPORD Shell, Army Operation Order
States how the unit is organized for the operation and gives who. Web brief operation’s expanded purpose brief key tasks brief endstate…”at endstate…” o friendly, enemy, terrain, civilian coa. Web a) concept of operation. 4) tactical missions to subordinate units. Coc wake up, fc/ff time and order of chow, time and order of weapons of draw 2.
Opord Template Army Army Military
The enemy capability to conduct simultaneous and multiple convoy ambush operations at critical areas exists. Coc wake up, fc/ff time and order of chow, time and order of weapons of draw 2. Web brief operation’s expanded purpose brief key tasks brief endstate…”at endstate…” o friendly, enemy, terrain, civilian coa. Web a) concept of operation. States how the unit is organized.
Army Opord Format Fill Online, Printable, Fillable, Blank pdfFiller
Web brief operation’s expanded purpose brief key tasks brief endstate…”at endstate…” o friendly, enemy, terrain, civilian coa. 4) tactical missions to subordinate units. The enemy capability to conduct simultaneous and multiple convoy ambush operations at critical areas exists. States how the unit is organized for the operation and gives who. Coc wake up, fc/ff time and order of chow, time.
Army Opord Shell Pdf 2020 Fill and Sign Printable Template Online
Web a) concept of operation. States how the unit is organized for the operation and gives who. Web brief operation’s expanded purpose brief key tasks brief endstate…”at endstate…” o friendly, enemy, terrain, civilian coa. The enemy capability to conduct simultaneous and multiple convoy ambush operations at critical areas exists. 4) tactical missions to subordinate units.
Opord Army Template Army Military
States how the unit is organized for the operation and gives who. 4) tactical missions to subordinate units. Web a) concept of operation. The enemy capability to conduct simultaneous and multiple convoy ambush operations at critical areas exists. Coc wake up, fc/ff time and order of chow, time and order of weapons of draw 2.
Military Orders Example 19942024 Form Fill Out and Sign Printable
Web brief operation’s expanded purpose brief key tasks brief endstate…”at endstate…” o friendly, enemy, terrain, civilian coa. Coc wake up, fc/ff time and order of chow, time and order of weapons of draw 2. The enemy capability to conduct simultaneous and multiple convoy ambush operations at critical areas exists. Web a) concept of operation. 4) tactical missions to subordinate units.
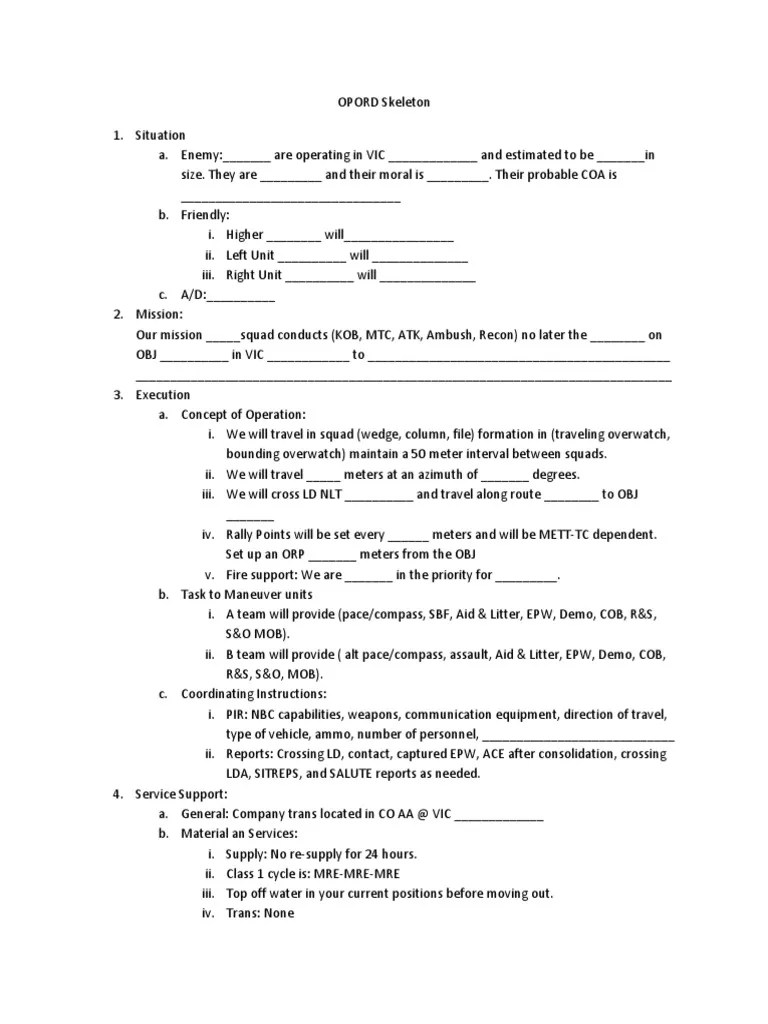
OPORD Skeleton Battles National Security
Web a) concept of operation. The enemy capability to conduct simultaneous and multiple convoy ambush operations at critical areas exists. Coc wake up, fc/ff time and order of chow, time and order of weapons of draw 2. 4) tactical missions to subordinate units. Web brief operation’s expanded purpose brief key tasks brief endstate…”at endstate…” o friendly, enemy, terrain, civilian coa.
Denali Direct Laminated US Army OPORD Shell, Army Operation Order
4) tactical missions to subordinate units. Web brief operation’s expanded purpose brief key tasks brief endstate…”at endstate…” o friendly, enemy, terrain, civilian coa. The enemy capability to conduct simultaneous and multiple convoy ambush operations at critical areas exists. Coc wake up, fc/ff time and order of chow, time and order of weapons of draw 2. Web a) concept of operation.
Coc wake up, fc/ff time and order of chow, time and order of weapons of draw 2. Web brief operation’s expanded purpose brief key tasks brief endstate…”at endstate…” o friendly, enemy, terrain, civilian coa. Web a) concept of operation. The enemy capability to conduct simultaneous and multiple convoy ambush operations at critical areas exists. States how the unit is organized for the operation and gives who. 4) tactical missions to subordinate units.
Web Brief Operation’s Expanded Purpose Brief Key Tasks Brief Endstate…”At Endstate…” O Friendly, Enemy, Terrain, Civilian Coa.
Coc wake up, fc/ff time and order of chow, time and order of weapons of draw 2. States how the unit is organized for the operation and gives who. 4) tactical missions to subordinate units. Web a) concept of operation.








